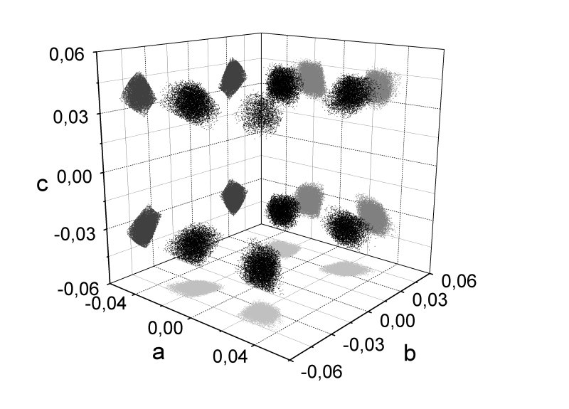
Texture C

Inverted mass hierarchy (in addition to Fig.7)